皆様こんにちは、CRFの清家です。これから半年で5個の論文のレビューを行っていきたいと思いますので、お付き合いをよろしくお願いします。
第一回は先日Lancet に報告されたNIRS-IVUSのLRP研究(1)に関してまとめさせていただきたいと思います。
Waksman R, et al. Lancet. 2019;394:1629-1637. Identification of patients and plaques vulnerable to future coronary events with near-infrared spectroscopy intravascular ultrasound imaging: a prospective, cohort sutdy.
NIRS-IVUSに関する原理を記述させていただきたいと思います。
Near Infrared Spectroscopy (近赤外分光法)、略してNIRSと呼ばれています。技術自体は新しいものではなく、1960年代半ばに米農務省によってはじめて用いられました。動脈硬化の評価に対しては1993年にCassisとLodderによってウサギの大動脈に対して動物実験が行われております。現在ではIVUSの画像と組み合わされ、使用されています。
OCT (Optical coherence tomography)とNIRSの同じ点、違いをそれぞれ記載させていただきます。生体医用光学は専門外ですので、間違いがあれば教えてください。
OCT、NIRSともに近赤外線を用います。人の目が感じる可視光は波長が 300 nm の紫色から 800 nm の赤色までですが,700-1,500 nm 程度の波長を近赤外光といいます。NIRSは、分光法の一つの方法で、用いる光の波長によって解析対象や目的が変わってきます。
分光法というのは、測定対象に光を照射し、吸光度の変化によって成分を算出する方法で、製薬、化学、農業、食品の分析、人間、コンクリートなど様々なものに用いられています。

(文部科学省HPより、https://www.mext.go.jp/b_menu/shingi/gijyutu/gijyutu3/toushin/attach/1333543.htm) (2)
この図のように、近赤外線すなわち波長700-1,500 nmは、ヘモグロビンと水による吸収の強さが弱く、生体組織に深く浸透することが可能であり、生体内を観察することに適した波長になります。そのため工学的窓とも呼ばれ、その特徴からNIRS、OCTともに近赤外線が使用されています。実際にはNIRS-IVUSでは800-2,500 nm, Intracoronary OCT 1,300 nmの波長が用いられています。
OCTは、近赤外線の拡散光を出来るだけ除外し、微弱な直進光を信号として検出し、内部構造を再構成する手法です。一方、NIRSは測定対象に近赤外線を照射し、吸光度の変化によって成分を算出する手法です。従って、OCTは構造を観察するための、NIRSは構造を構成する成分を観察するための手法とも言えます。
吸光度は、物質ごとにその値が変わります。NIR 領域に生じる最も顕著な吸収バンドは、C–H、N–H、O–H、S-H の分子の IR 領域基準振動の倍音及び結合音に関連したものになります。少しわかりにくいですので、下の表を参照ください。
有機化合物および硫黄化合物の近赤外(NIR)領域吸収バンドの波長(nm)
| 波長 [nm] | 帰属 |
| 2000-2200 | N–H 伸縮振動の結合音;O–H 伸縮振動の結合音 |
| 1730-1760 | S–H 伸縮振動の第一倍音 |
| 1650-1800 | C–H 伸縮振動の第一倍音 |
| 1400-1500 | N–H 伸縮振動の第一倍音;O–H 伸縮振動の第一倍音 |
| 1300-1420 | C–H 伸縮振動の結合音 |
| 1100-1225 | C–H 伸縮振動の第二倍音 |
| 950-1100 | N–H 伸縮振動の第二倍音;O–H 伸縮振動の第二倍音 |
| 850-950 | C–H 伸縮振動の第三倍音 |
| 775-850 | N–H 伸縮振動の第三倍音 |
B.H. Stuart、Infrared Spectroscopy: Fundamentals and Applications (2004) (3)
有機化合物の官能基(-CH, -NHなど)により吸収される波長のバンドが違うことがわかります。NIRS-IVUSでは800-2,500 nmの光を用いますので、この範囲の波長の光を照射しそれぞれのバンドの吸光度を観察ことになります。上記の波長の領域のそれぞれの吸光度を組み合わせることにより、対象を特定します。
分光法は、物質を直接評価するものではなく、その吸光度を観察しますので、必要なデータを獲得するためには、サンプルデータの蓄積やデータのパターンからの学習が必要です。冠動脈のNIRSでは脂質コアプラークを検出することを目的としております、下の図(4)がその吸光度の特徴となり、この特性を持った吸光度を示した先には脂質コアプラークが存在することなります。
この図はスペクトラムと言われ、横軸が波長、縦軸が吸光度となっており、コラーゲンとコレステロールでそれぞれのバンドでの吸光度のパターンが異なることがわかります。また、山が高くなっているところを見ていただくと、上記の表のバンドでそれぞれ高くなっていることが理解できると思います。実際には、この山の形の組み合わせを用い統計学的手法にて脂質コアプラークを特定します。
NIRSの原理はここまでにしたいと思います。
冠動脈では光の進行方向に脂質コアプラークがあるかどうかを、このような図を用いて評価します。黄色がLipidのあるところで、赤はないところです。

冠動脈の長軸方向によって、下の図のように脂質コアプラークの分布が表され、これをケモグラムと呼びます。

脂質コアプラークの可能性を“[黄]=高い、[赤]=低い”の色彩を用いた“ケモグラム”で表示します。“ケモグラムブロック”は縦 1 ブロック 2 mm 毎に表示し、LCP の可能性を 4 段階「(低い)赤 - 橙 - 薄橙 - 黄(高い)」で表示します。それぞれの確率 P 値が 0.57 未満(信頼性: 85%未満)の時は赤、0.57-0.84の時は橙、0.84-0.98の時は薄橙、0.98 以上(信頼性: 95%以上)の時は黄で表示されます(TVCカテーテル添付文書より)。
NIRSの原理のところで説明させていただいたように、統計学的手法により脂質コアプラークの存在確立を出しますので、上記の用のP値で評価していきます。
この色分け(群分け)を用いて、
Lipid Core Burden Index = (Yellow pixels / Red + Yellow pixels) x 1000
が計算されます。
特に4 mm区間でこの値が最も高くなる区間の値がMax LCBI4mmと定義されます。この値を用いて、VulnerableなPlaque/Vessel/Patientを同定します。値が1000に違いほど、4 mm区間で脂質コアプラークが広く分布しているということになります。
ここから、実際の論文の内容を見ていきたいと思います。
背景:
薬物療法は進歩しているが、冠動脈疾患は主要死亡原因の一つである。コレステロールの豊富なプラークは心筋梗塞と死亡に強く関係していることが知られている。二次的心血管イベントの予測は依然として重要であり、PROSPECT試験(5)等で行われてきた。NIRSは脂質コアプラークを同定することが可能である。本試験はNIRS-IVUSがvulnerableな病変及び患者の同定出来るかどうかを明らかにすることを目的に行われた。
方法:
試験デザインは他施設前向きコホート研究で、欧米の44の施設で、冠動脈疾患が疑われAd-hoc PCIの可能性があるカテーテル検査を受けた1,563症例を対象に行われた。カテーテル治療の標的病変に治療が行われた後に、カテーテル治療の非対象病変に対してNISR-IVUSでの評価が行われ、非対称病変及び患者のmaxLCBI4mmの値と、NC-MACE (カテーテル治療部位のイベントを除く、主要心血管イベント)の比較が行われた。
結果:
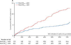
maxLCBI4mm ≥250の病変がある症例が登録されました。1,271症例(平均年齢 64±10歳、男性 883例[69%])が最終的に追跡され、NC-MACEは9%に発生しました。また、NIRS-IVUS施行による合併症は0.4%に発生しました。
患者レベルでは、maxLCBI4mmが100増加するごとのNC-MACE発生の補正前ハザード比(HR)は1.21 (95%CI: 1.09-1.35, p=0.0004)、補正後HRは1.18 (95%CI: 1.05-1.32, p=0.0043)でした。maxLCBI4mmが400を超える患者では、NC-MACEの補正前HRは2.18 (95%CI: 1.48-3.22, p<0.0001)、補正後HRは1.89 (95%CI: 1.26-2.83, p=0.0021)でした。

プラークレベルの解析では、maxLCBI4mmが100増加するごとのNC-MACE発生の補正前HRは1.45 (95%CI: 1.30-1.60, p<0.0001)。maxLCBI4mmが400を超える病変では、NC-MACEの補正前HRは4.22 (95%CI: 2.39-7.45, p<0.0001)で、補正後HRは3.39 (95%CI: 1.85-6.20, p<0.0001)でした。

考察:
本研究は冠動脈内イメージングを用いた最大の前向き研究であり、カテーテル治療を受けた冠動脈疾患患者の9%にNC-MACEがあった。また、NIRS-IVUSは安全に施行可能であり、将来のイベント予測を行うことが可能であり、maxLCBI4mmのカットオフ値は適切である。PROSPECTにより、プラークバーデン(PB)70%以上、MLA<4.0 mm2、VH-TCFAがリスクであると証明され、PB>70%はその後も臨床研究に用いられてきたが、NIRSはその予測をさらに正確に行うことのできる新たな指標であった。NIRSは冠動脈に対する薬剤評価にも有用である可能性があり、PACMAN-AMI trial (NCT03067844)が行われている。また、今後PROSPECT II, PROSPECT ABSORBも行われており、本技術を用いた評価・治療の進歩が期待される。NIRSによる非閉塞性病変の評価は安全であり、NC-MACEのHigh riskな病変と患者の同定に有用であった。
私見:
LRP試験のデザインは、ACSのみか、ACSが半数という違いはあるものの、PROSPECTのデザインに非常によく似た試験であると思います。PROSPECTで用いられたVH-TCFAはプラークバーデンに追加するIncremental Valueは非常に大きいものの、real-timeに解析することが出来ず、定性的なものであったという問題がありました。その一方、NIRSはreal timeに臨床現場で即座に診断することが可能であり、定量的な評価が可能であることがメリットであると考えられます。また、現在はNIRF、NIRAFといった新しい技術の進歩もあります。しかしながら、現時点では、NIRSの所見、すなわちプラークの質的診断のみで治療の適応を決めることは出来ません。私の研究テーマである、Virtual FFRがこれに対する追加の技術になることを望んでいます。
NIRF, NIRAFの原理は、NIRSよりもさらに複雑です。質的診断を行うモダリティーは原理がやや複雑で、研究を行っていく上では、その理論的背景をしっかりと知る必要があり、これからも勉強を続けていかなければならないと感じました。
(1) Waksman R, et al. Lancet. 2019;394:1629-1637.
(2) 文部科学省HP; https://www.mext.go.jp/b_menu/shingi/gijyutu/gijyutu3/toushin/attach/1333543.htm
(3) B.H. Stuart、Infrared Spectroscopy: Fundamentals and Applications (2004)
(4) Caplan JD, et al. J Am Coll Cardiol. 2006;47:C92-6.
(5) Stone GW, et al. N Engl J Med. 2011;364:226-35.