心不全は緩徐に進行する慢性疾患であると共に、急性増悪を繰り返すたびに徐々に状態が悪化するとされています。循環器内科医なら誰しも一度は下の図を目にしたことがあるのではないでしょうか。

J Am Coll Cardiol. 2009;54:386-96.
急性期の主な症状は体液貯留に起因します。肺うっ血による呼吸障害や、左室の過剰伸展による心筋障害、腎うっ血や腸管うっ血など多岐にわたります。また、血圧低下や末梢循環障害などのLow outputのサインが主な症状となることもあります。これらの血行動態の変化に加え、交感神経系、Renin-Angiotensin-Aldosterone系、炎症などの神経体液因子の亢進が同時に起こり、さらなる心筋障害や臓器障害を引き起こして急性心不全の病態に寄与されていると考えられてきました。
急性期治療の中心は利尿薬と血管拡張薬ですが、新たな薬剤の有用性が臨床試験で検討されてきました。
Nesiritideは血管拡張作用とナトリウム利尿作用を有する組換えヒトB型ナトリウム利尿ペプチドです。VMAC試験で呼吸状態と血行動態の改善が示され米国で用いられていましたが、これは大規模試験でなく、また死亡や心不全入院などのエンドポイントは検討されていませんでした。ASCEND-HFでは7,141名を登録し30日死亡と心不全入院を検討しました。Nesiritide群で急性期の呼吸状態の改善効果を認めたものの血圧低下イベントを多く認め、Nesiritide群で有意な予後改善効果は認められませんでした (N Engl J Med. 2011; 365: 32-43)。
Serelaxinは妊娠期に分泌され、血管コンプライアンスの改善、心拍出量や腎血流量を増加させる効果のあるペプチドホルモンであるrelaxinの遺伝子組み換え型ヒトリラキシンです。1,161名が登録されたRELAX-AHFにおいて、急性期の呼吸状態を改善し180日死亡も低下させました。さらにクレアチニン、Troponin、NT-pro BNPなどの急性期のうっ血・臓器障害のマーカーも改善させ、急性心不全において血行動態を改善し臓器保護作用を示すと考えられました (Lancet. 2009; 373: 1429-39)。しかし、この知見を確認するはずであったより大規模なRELAX-AHF-2 (n = 6,600)では同様のエンドポイントである180日死亡を低下させませんでした。一方でCystatin-Cや NT-pro BNP, troponinなどのマーカーはRELAX-AHFと同様に改善させました。(Serelaxin fails to meet primary endpoints in phase 3 RELAX-AHF-2 trial. Press release, 29 April 2017. https://www.escardio.org/The-ESC/Press-Office/Pressreleases/serelaxin-fails-to-meet-primary-endpoints-in-phase-3-relax-ahf-2-trial (3 June 2017))
Ularitideはナトリウム利尿ペプチドであり、TRUE-AHFで早期投与によってうっ血と心筋障害を改善することで予後改善効果があるかが2157名の患者で検討されました (N Engl J Med 2017;376:1956-64)。結果としては、やはり急性期の症状の改善に寄与したものの、血圧低下をきたしやすい傾向ににあり、予後改善効果は認められませんでした。UlaritideはNTpro-BNPを有意に低下させましたが、Troponinは低下させませんでした。
硝酸薬やループ利尿薬などのシンプルな薬剤に比べ、ナトリウムペプチドによる利尿や臓器保護作用のある薬剤を用いる、もしくはより早期から用いることでうっ血や臓器障害を軽減し予後の改善を図る臨床試験は、ことごとく有効性を示すことができませんでした。今後も同様の試験を繰り返すより、急性心不全の治療に関して一度立ち止まって考えてみる必要があるように思います。
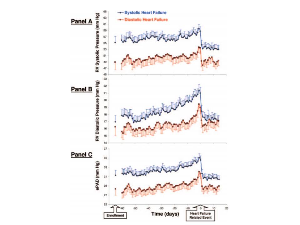
以前より急性心不全と慢性心不全はそれぞれ分けて語られることが多く、臨床試験もそれぞれ別々に計画され、ガイドラインでもそれぞれに推奨される治療が記載されてきました。しかし急性心不全では実際に来院する数日前から潜在的な体液貯留を来たすことが報告されており、これによる神経体液因子の亢進も並存していると考えらます。こう考えると、私達が急性心不全と考えていたのは、実はあまり急性ではない亜急性イベントであり、数日間に及ぶ体液貯留と神経体液因子の亢進による臓器障害に、ほんの数時間早くアプローチすること、また数年もしくは数十年にわたる心不全の経過の中で、数日間特別な治療を行うことが予後に大きく関与するのは難しいのかもしれません。

Circulation. 2008;118:1433-1441.
また、急性心不全の多様性にも注意が必要と考えます。急性心不全は、基礎心疾患 (虚血、弁膜症、心筋症etc.)と非心血管合併症 (腎疾患、肺疾患、肝疾患、内分泌疾患etc.)に、きっかけとなる要因 (体液貯留、感染、コントロール不良の高血圧、不整脈etc.)が複雑に入り組んだheterogeneousな疾患であり、単一プロトコールに準拠した画一的な治療が難しいことは想像に難くありません。水が出るまで井戸を掘り続けるのでなく、急性心不全の診断や病態の理解に立ち返る必要があるのかもしれません。